Risk & Economy
Digital Transformation
Strategy & Operations
Press Releases
Subscribe
search
search
menu
close
News
keyboard_arrow_down
Events
Resources
Content Calendar
Risk & Economy
Audit
Brexit
Climate change
Compliance
Disruption
Diversity
Financial crime
Fraud
FX
Public Sector
Regulation
Tax
Trade
Digital Transformation
AI
Big Data
Cloud
Cyber Security
GDPR
Systems & Software
Technology
Strategy & Operations
Business Partnering
C-suite Communication
Financial Reporting
Governance
Leadership & Management
Legal
Procurement
Real estate
Opinion
Information
Follow us
Twitter
LinkedIn
YouTube
Digital Transformation
»
AI
»
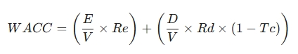
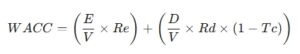
CFOs face the great refinancing shock
»
Screenshot_10-3-2026_17346_gemini.google.com
Screenshot_10-3-2026_17346_gemini.google.com
Author
nikita alexander
Date published
March 10, 2026
Categories
Join a global community of senior CFO leaders, and access the latest analysis and reports
Join a global community of senior CFO leaders, and access the latest analysis and reports
Stay Connected
Whitepaper
AP
The importance of UX in accounts payable: Often overlooked, always essential
AP
The power of customisation in accounting systems
AP
8 Key metrics to measure to optimise accounts payable efficiency
Banking
Spend reporting wastes time - it does not have to be this way
Related Articles
AWS CFO maps AI’s “sweet spot” at AI for CFOs summit
Business Strategy
AWS CFO maps AI’s “sweet spot” at AI for CFOs summit
2d
nikita alexander
Mega deals are back and driving M&A to a five year high
Corporate Finance
Mega deals are back and driving M&A to a five year high
4d
nikita alexander
Beyond the Pilot: How CFOs Can Master the AI Value Chain
AI
Beyond the Pilot: How CFOs Can Master the AI Value Chain
5d
The CFO
OneStream’s Matthew Rodgers on CFOs taking over AI
AI
OneStream’s Matthew Rodgers on CFOs taking over AI
6d
nikita alexander
From Managing Cash to Commanding it
Spend Management
From Managing Cash to Commanding it
6d
Søren Lonning, CFO at Pleo
The AI-First CFO: Building High-Performance Finance Teams in 2026
AI
The AI-First CFO: Building High-Performance Finance Teams in 2026
1w
The CFO
The end of manual finance? Meta shows what’s next at AI for CFOs summit
Automation
The end of manual finance? Meta shows what’s next at AI for CFOs summit
1w
nikita alexander
The wake-up call finance needed: AI for CFOs summit roundup
AI
The wake-up call finance needed: AI for CFOs summit roundup
2w
nikita alexander